Capital Market (Thị trường vốn) là hệ thống tài chính nơi các khoản tiết kiệm và quỹ đầu tư được huy động để giao dịch các công cụ tài chính dài hạn (trên 1 năm) như cổ phiếu và trái phiếu. Capital Market đóng vai trò là “trái tim” bơm máu dài hạn cho doanh nghiệp và chính phủ, phân biệt hoàn toàn với thị trường tiền tệ (Money Market) vốn chỉ tập trung vào thanh khoản ngắn hạn.
Contents
- Bản Chất Của Capital Market: Trái Tim Bơm Máu Cho Nền Kinh Tế Thực
- Capital Market vs Money Market: Lằn Ranh Phân Định Dòng Tiền Thông Minh
- Cấu Trúc Vi Mô: Những “Mắt Xích” Quyền Lực Nhất
- Toàn Cảnh Thị Trường Vốn Việt Nam 2026: Kỷ Nguyên Nâng Hạng
- Khai Thác Capital Market: Tránh Cạm Bẫy – Tối Đa Hóa Lợi Nhuận
- Lời Kết
- FAQ
Bản Chất Của Capital Market: Trái Tim Bơm Máu Cho Nền Kinh Tế Thực
Giữa hàng ngàn thuật ngữ tài chính phức tạp, việc hiểu sai bản chất của dòng vốn có thể khiến nhà đầu tư trả giá đắt. Thị trường vốn không phải là một sòng bạc; nó là một phong vũ biểu (barometer) đo lường sức khỏe của toàn bộ nền kinh tế vĩ mô.
1. Định Nghĩa
Thị trường vốn là nơi gặp gỡ giữa hai thực thể: Người dư thừa vốn (nhà đầu tư cá nhân, quỹ hưu trí, tổ chức tài chính) và Người thiếu hụt vốn (chính phủ, tập đoàn, doanh nghiệp khởi nghiệp).
Hãy tưởng tượng nó như một trạm luân chuyển năng lượng khổng lồ. Thay vì để tiền nằm im và mất giá do lạm phát, dòng tiền được định hướng vào các dự án mở rộng sản xuất, xây dựng cơ sở hạ tầng, hoặc nghiên cứu và phát triển (R&D). Đổi lại, nhà đầu tư nhận được quyền sở hữu (cổ phiếu) hoặc cam kết trả nợ có lãi (trái phiếu).
2. Cấu Trúc Kép: Thị Trường Sơ Cấp & Thứ Cấp

Thị trường vốn được chia thành hai phân khu hoạt động liên tục và bổ trợ cho nhau:
- Thị trường sơ cấp (Primary Market): Đây là “phòng sinh” của chứng khoán. Nơi đây, chứng khoán được phát hành lần đầu tiên ra công chúng (IPO) hoặc phát hành thêm. Dòng tiền chảy trực tiếp từ túi nhà đầu tư vào kho bạc của doanh nghiệp.
- Thị trường thứ cấp (Secondary Market): Đây là “chợ giao dịch”. Sau khi mua ở thị trường sơ cấp, nhà đầu tư mua đi bán lại các chứng khoán này với nhau. Doanh nghiệp không nhận thêm tiền ở giai đoạn này, nhưng thị trường thứ cấp cung cấp tính thanh khoản – yếu tố sống còn giúp nhà đầu tư yên tâm rót tiền vào thị trường sơ cấp.
💡 The Mitrade Edge: Góc Nhìn Thực Chiến
Nhiều nhà đầu tư F0 lầm tưởng lợi nhuận từ việc “lướt sóng” cổ phiếu trên sàn (thị trường thứ cấp) sẽ làm giàu trực tiếp cho doanh nghiệp. Thực tế, dòng tiền này chỉ chuyển từ túi nhà đầu tư này sang túi nhà đầu tư khác. Tuy nhiên, giá cổ phiếu neo cao trên thị trường thứ cấp sẽ giúp doanh nghiệp dễ dàng huy động vốn hơn (với giá tốt hơn) trong các đợt phát hành bổ sung sau này.
Capital Market vs Money Market: Lằn Ranh Phân Định Dòng Tiền Thông Minh
Đừng nhầm lẫn giữa hai hệ thống này. Nếu coi nền kinh tế là một cơ thể sống, thì thị trường tiền tệ (Money Market) duy trì nhịp thở hàng ngày, còn thị trường vốn (Capital Market) quyết định sự tăng trưởng cơ bắp trong dài hạn.
Việc phân bổ sai tài sản giữa hai thị trường này là lỗi chết người của các danh mục đầu tư. Dưới đây là bảng phân tách định lượng:

| Tiêu chí | Capital Market (Thị trường Vốn) | Money Market (Thị trường Tiền tệ) |
| Mục đích cốt lõi | Tài trợ đầu tư dài hạn (nhà máy, M&A) | Tài trợ vốn lưu động ngắn hạn (trả lương, nợ nhà cung cấp) |
| Kỳ hạn (Maturity) | Dài hạn (> 1 năm) đến vô hạn (cổ phiếu) | Ngắn hạn (dưới 1 năm, thậm chí qua đêm) |
| Công cụ chính | Cổ phiếu, Trái phiếu doanh nghiệp/chính phủ | Tín phiếu kho bạc, Chứng chỉ tiền gửi, Thương phiếu |
| Mức độ Rủi ro | Trung bình đến Cao (Phụ thuộc kết quả kinh doanh) | Rất thấp (Gần như phi rủi ro – Risk-free) |
| Biên độ Lợi nhuận | Không giới hạn (Capital Gain + Cổ tức) | Cố định và thấp (Dựa trên lãi suất) |
| Tính Thanh khoản | Tùy thuộc vào loại tài sản và quy mô thị trường | Rực kỳ cao, có thể chuyển thành tiền mặt lập tức |
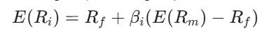
Công thức định giá rủi ro: Trong toán học tài chính, rủi ro và lợi nhuận trên Capital Market thường được đánh giá qua mô hình CAPM:

Trong đó, Rf chính là lợi suất phi rủi ro thường được tham chiếu từ Money Market (ví dụ: lãi suất trái phiếu chính phủ kỳ hạn ngắn).
Cấu Trúc Vi Mô: Những “Mắt Xích” Quyền Lực Nhất
Thị trường không tự nhiên vận hành. Nó đòi hỏi một hệ sinh thái các định chế tài chính hoạt động với độ chính xác cao. Dù bạn đang quản lý danh mục tại các đô thị lớn hay giao dịch linh hoạt từ góc làm việc quen thuộc ở Cần Thơ, bạn đều đang tương tác với các thực thể này.

1. Nhà Phát Hành (Issuers)
Họ là nguồn cung của thị trường. Bao gồm:
- Chính phủ & Địa phương: Phát hành trái phiếu (Sovereign bonds/Municipal bonds) để làm đường cao tốc, sân bay. Đây được coi là tài sản neo giữ sự an toàn cho toàn hệ thống.
- Tập đoàn lớn (Blue-chips): Phát hành cổ phiếu để gọi vốn mở rộng toàn cầu.
2. Định Chế Trung Gian (Intermediaries)
Họ là dầu bôi trơn cho cỗ máy.
- Ngân hàng đầu tư (Investment Banks): Những người thiết kế các thương vụ IPO, định giá doanh nghiệp và bảo lãnh phát hành.
- Công ty chứng khoán & Nền tảng môi giới: Nơi thực thi lệnh của bạn. Nền tảng giao dịch ký quỹ (Margin Trading) quốc tế như Mitrade cho phép bạn tiếp cận không chỉ cổ phiếu mà còn các chỉ số (Indices) với tốc độ khớp lệnh tính bằng mili-giây.
3. Nhà Đầu Tư (Investors)
Từ các quỹ phòng hộ (Hedge Funds), quỹ hưu trí khổng lồ, cho đến hàng triệu nhà đầu tư bán lẻ cá nhân. Sức mạnh của đám đông bán lẻ đang ngày càng thay đổi cấu trúc thị trường, đặc biệt là với sự bùng nổ của các nền tảng giao dịch trực tuyến miễn phí hoa hồng.
ESG – “Khẩu vị” mới của dòng vốn tỷ đô năm 2026
Trong cấu trúc thị trường vốn 2026, không thể không nhắc đến sự bùng nổ của Trái phiếu Xanh (Green Bonds) và các chứng chỉ quỹ ESG.
- Tại sao lại quan trọng? Hiện nay, hơn 60% các quỹ đầu tư lớn từ Châu Âu và Mỹ chỉ giải ngân vào các doanh nghiệp minh bạch về báo cáo phát triển bền vững (ESG).
- Cơ hội cho nhà đầu tư: Các doanh nghiệp năng lượng tái tạo, nông nghiệp công nghệ cao và sản xuất xanh đang được ưu tiên tiếp cận nguồn vốn rẻ. Việc sở hữu cổ phiếu của các doanh nghiệp này không chỉ mang lại lợi nhuận từ tăng trưởng mà còn giảm thiểu rủi ro pháp lý trong bối cảnh các quy định về Net Zero đang thắt chặt.
Toàn Cảnh Thị Trường Vốn Việt Nam 2026: Kỷ Nguyên Nâng Hạng
Vĩ mô 2026 chứng kiến những bước chuyển mình mang tính lịch sử. Chúng ta không còn nói về những lời hứa hẹn; chúng ta đang sống trong giai đoạn thực thi.
1. Lực Đẩy Nâng Hạng (Emerging Market Upgrade)
Tính đến quý 2/2026, thị trường vốn Việt Nam đang đứng trước bước ngoặt lịch sử. Sau khi rào cản ký quỹ trước giao dịch (pre-funding) được tháo gỡ hoàn toàn từ cuối năm 2025, các tổ chức xếp hạng như FTSE Russell đã đưa ra những đánh giá tích cực nhất về khả năng vận hành của hệ thống KRX mới. Dòng vốn ngoại không còn ở trạng thái ‘chờ đợi’ mà đã bắt đầu giải ngân mạnh mẽ vào các nhóm cổ phiếu trụ cột (VN30), đẩy thanh khoản trung bình phiên vượt ngưỡng 1.5 tỷ USD. Đây không còn là dự báo, mà là thực tế đang diễn ra, đòi hỏi nhà đầu tư phải có chiến lược phân bổ vốn linh hoạt để đón đầu làn vốn ETF quốc tế.
2. Sự Trưởng Thành Của Tư Duy Đầu Tư
Với những nhà đầu tư có trên 5 năm kinh nghiệm, từng trải qua các chu kỳ của cả thị trường cổ phiếu truyền thống và tiền mã hóa (crypto), năm 2026 đòi hỏi một tư duy quản trị rủi ro tinh vi hơn. Ranh giới giữa các loại tài sản đang mờ dần. Việc phân bổ vốn không chỉ nằm ở việc mua cổ phiếu Vingroup hay FPT, mà còn là việc phòng vệ (hedge) bằng các chỉ số quốc tế (như S&P 500, Nasdaq) thông qua hợp đồng chênh lệch (CFD).
💡 The Mitrade Edge: Góc Nhìn Thực Chiến
Case Study 2026: Lợi thế của giao dịch hai chiều.
Thị trường vốn nội địa thường chỉ cho phép kiếm lời khi giá tăng (Long). Tuy nhiên, với các công cụ phái sinh quốc tế trên Mitrade, bạn có thể thực hiện vị thế Bán Khống (Short) để tìm kiếm lợi nhuận ngay cả khi thị trường vĩ mô bước vào nhịp điều chỉnh. Đây là vũ khí tối thượng của các nhà quản lý quỹ chuyên nghiệp.
Khai Thác Capital Market: Tránh Cạm Bẫy – Tối Đa Hóa Lợi Nhuận
Hiểu luật chơi là chưa đủ; bạn cần có kỷ luật thép để tồn tại. Dưới đây là những lỗi sai kinh điển (Common pitfalls) và chiến lược hành động:

Cạm Bẫy 1: Sai Lệch Kỳ Hạn Đầu Tư (Duration Mismatch)
Sử dụng dòng tiền ngắn hạn (tiền học phí của con, tiền sinh hoạt phí tháng tới) để mua cổ phiếu (tài sản rủi ro dài hạn). Khi thị trường rung lắc, bạn buộc phải bán cắt lỗ để lo nhu cầu ngắn hạn.
👉 Hành động: Chỉ sử dụng dòng tiền nhàn rỗi (idle money) tối thiểu từ 1-3 năm cho Capital Market. Tiền ngắn hạn hãy để ở Money Market.
Cạm Bẫy 2: Ảo Tưởng Đòn Bẩy (Over-leveraging)
Đòn bẩy tài chính (Margin) là thanh gươm hai lưỡi sắc bén nhất. Nhiều nhà đầu tư F0 lạm dụng đòn bẩy quá mức cho phép trong các pha thị trường fomo.
👉 Hành động: Bắt đầu với tỷ lệ đòn bẩy nhỏ. Các nền tảng có cơ chế bảo vệ số dư âm (Negative Balance Protection) như Mitrade sẽ là lớp khiên an toàn để bạn không bao giờ mất nhiều hơn số vốn nạp vào.
Cạm Bẫy 3: Gắn Chặt Đất Nước (Home Bias)
Chỉ đầu tư vào chứng khoán Việt Nam. Khi kinh tế vĩ mô trong nước gặp sự cố, toàn bộ danh mục của bạn bốc hơi.
👉 Hành động: Đa dạng hóa toàn cầu. Phân bổ một phần vốn vào chứng khoán Mỹ, hàng hóa (Vàng, Dầu) để giảm thiểu rủi ro phi hệ thống.
Lạm phát sẽ âm thầm bào mòn dòng tiền của bạn nếu chỉ để trong ngân hàng. Hãy nhập số vốn bạn đang có vào bảng dưới đây để xem bức tranh tài sản của bạn sẽ thay đổi như thế nào nếu được phân bổ vào các Chỉ số Cổ phiếu hàng đầu thế giới.
Sức Mạnh Của Thị Trường Vốn
So sánh tăng trưởng tài sản: Tiết kiệm vs Đầu tư Cổ phiếu/Chỉ số
Tổng tiền (Gửi Tiết Kiệm – 6%/năm)
$0
Tổng tiền (Thị Trường Cổ Phiếu – 12%/năm)
$0
Khoảng cách lợi nhuận chính là sức mạnh của Thị Trường Vốn toàn cầu. Bắt đầu giao dịch cổ phiếu, chỉ số S&P 500, Nasdaq không mất phí hoa hồng.
Tiếp cận Thị Trường Vốn trên Mitrade →Khám Phá Thêm Để Hoàn Thiện Chiến Lược
Để xây dựng một cỗ máy in tiền bền vững, đừng bỏ lỡ các kiến thức chuyên sâu sau:
- Hướng dẫn phân tích kỹ thuật: Bắt mạch dòng tiền cá mập qua Volume.
- Giao dịch Chỉ số chứng khoán quốc tế (S&P 500, Dow Jones) cho người mới.
- Quản trị vốn Kelly: Công thức toán học giúp bạn không bao giờ cháy tài khoản.
- Margin Trading 101: Cách dùng đòn bẩy của top 1% trader.
- Tương quan giữa Lãi suất FED và Giá Vàng: Biến số vĩ mô bạn phải biết.
AI & Algorithmic Trading – Khi công nghệ định hình cuộc chơi
Bước sang năm 2026, thị trường vốn không còn là sân chơi của những bảng điện tử thuần túy. Sự tham gia của AI và Giao dịch thuật toán (Algo-trading) đã chiếm tới 40% khối lượng giao dịch hằng ngày.
- Tốc độ và Chính xác: AI giúp xử lý hàng triệu dữ liệu vĩ mô trong tích tắc để đưa ra các lệnh mua/bán tối ưu.
- Lợi thế cho nhà đầu tư cá nhân: Thông qua các nền tảng tiên tiến như Mitrade, nhà đầu tư có thể tận dụng các công cụ hỗ trợ phân tích kỹ thuật thông minh và quản trị rủi ro tự động, giúp thu hẹp khoảng cách về trình độ công nghệ với các tổ chức lớn."
Lời Kết
Capital Market không phải là một sân chơi may rủi; nó là kỷ luật, kiến thức và sự nhạy bén. Từ các trung tâm tài chính lớn trên thế giới cho đến thị trường đang trỗi dậy mạnh mẽ như Việt Nam, nguyên lý của sự giàu có không thay đổi: Hãy để tiền làm việc cho bạn trong dài hạn.
Đừng chỉ đọc lý thuyết. Thị trường đang vận động mỗi giây. Bạn đã sẵn sàng để áp dụng những kiến thức này vào thực chiến chưa?
Mở Tài Khoản Demo Nhận 50,000$ Tiền Ảo Thực Hành

FAQ
1. Cá nhân có thể tham gia trực tiếp vào thị trường vốn không?
Có. Bạn có thể tham gia thông qua việc mua bán cổ phiếu, trái phiếu trên các sàn giao dịch chứng khoán bằng tài khoản mở tại công ty chứng khoán, hoặc mua chứng chỉ quỹ. Nếu muốn linh hoạt hơn với thị trường toàn cầu, các nền tảng phái sinh là lựa chọn tối ưu.
2. IPO là gì và nó thuộc thị trường nào?
IPO (Initial Public Offering - Phát hành lần đầu ra công chúng) thuộc thị trường sơ cấp. Đây là thời điểm doanh nghiệp chính thức huy động vốn từ công chúng bằng cách chào bán cổ phần.
3. Làm sao để đánh giá một thị trường vốn là phát triển?
Dựa vào 3 yếu tố: Quy mô vốn hóa so với GDP, tính thanh khoản (khối lượng giao dịch hàng ngày), và sự đa dạng của các sản phẩm tài chính (từ cổ phiếu cơ sở đến các công cụ phái sinh phức tạp).
4. Khủng hoảng kinh tế ảnh hưởng thế nào đến Capital Market?
Khủng hoảng làm giảm niềm tin, khiến dòng tiền rút khỏi tài sản rủi ro (cổ phiếu) chạy về tài sản trú ẩn (trái phiếu chính phủ, vàng). Điều này làm thanh khoản khô cạn và vốn hóa thị trường bốc hơi.
5. Giao dịch phái sinh (Derivatives) có thuộc thị trường vốn không?
Các công cụ phái sinh (như Hợp đồng tương lai, Quyền chọn, CFD) được xây dựng dựa trên tài sản cơ sở của thị trường vốn (cổ phiếu, trái phiếu) và được giao dịch trên thị trường phái sinh nhằm mục đích phòng vệ rủi ro hoặc đầu cơ.
6. Sự khác nhau giữa vốn chủ sở hữu (Equity) và vốn vay (Debt) trên thị trường này?
Mua Equity (Cổ phiếu), bạn là cổ đông, đồng sở hữu công ty, chia sẻ rủi ro và lợi nhuận vô hạn. Mua Debt (Trái phiếu), bạn là chủ nợ, nhận lãi cố định và được ưu tiên thanh toán nếu công ty phá sản.
7. Mức vốn tối thiểu để bắt đầu với Capital Market là bao nhiêu?
Với sự phát triển của công nghệ tài chính (Fintech), rào cản gia nhập gần như bằng không. Trên các nền tảng như Mitrade, bạn có thể bắt đầu với số vốn nhỏ lẻ thông qua cơ chế chia nhỏ lô giao dịch và đòn bẩy linh hoạt. Tỷ suất sinh lời tính trên phần trăm (%), không tính trên độ lớn của số vốn ban đầu.
Về Tác Giả & Ban Cố Vấn Báo Cáo: Bài phân tích này được thực hiện bởi Nicky Minh – Senior Financial Market Analyst & Content Strategist. Với hơn 5 năm kinh nghiệm thực chiến phân tích định lượng trên các thị trường trọng yếu (Chứng khoán, Chỉ số vĩ mô và Tiền điện tử), mọi dữ liệu trong báo cáo đều được trích xuất từ tài khoản Real và đối chiếu trực tiếp với các biến số kinh tế tài chính năm 2026. Chúng tôi không đánh giá dựa trên thông cáo báo chí, chúng tôi đánh giá bằng sự sống còn của dòng vốn.
Tài liệu này được cập nhật lần cuối: 04/2026
Kiểm duyệt nội dung: Bài viết này đã được kiểm tra và hiệu đính chuyên môn bởi Nicky Minh – Chuyên gia Phân tích Dữ liệu Tài chính. Với nền tảng vững chắc về Growth Marketing và Content Strategy, Nicky đảm bảo các thông tin được truyền tải không chỉ chính xác về mặt số liệu mà còn mang lại giá trị thực tiễn cho độc giả.
Kết nối với chuyên gia: Nicky Minh | LinkedIn
Tuyên bố miễn trừ trách nhiệm
Bài viết này chỉ mang tính chất giáo dục và thông tin. Không phải lời khuyên đầu tư hoặc khuyến nghị giao dịch. Giao dịch tài chính phái sinh có rủi ro cao và có thể không phù hợp với tất cả nhà đầu tư. Quá khứ không đảm bảo kết quả tương lai. Hãy tham khảo cố vấn tài chính trước khi đầu tư.

