Trading involve risks and are not suitable for all investors. Please ensure you fully understand the risk involved.

FA trong tài chính là gì? Sức mạnh Phân tích cơ bản & Template Định giá DCF (Update 2026)

FA trong tài chính (Fundamental Analysis – Phân tích cơ bản) là phương pháp đánh giá giá trị nội tại của một tài sản (cổ phiếu, tiền điện tử, chỉ số) thông qua việc phân tích các yếu tố kinh tế vĩ mô, vi mô, báo cáo tài chính và năng lực quản trị. Mục tiêu của FA là xác định xem tài sản đang bị định giá thấp (Undervalued) hay định giá cao (Overvalued) so với thị trường, từ đó đưa ra quyết định đầu tư dài hạn.

Bảng Tóm Tắt Nhanh FA:

Tiêu chíĐiểm cốt lõi của Phân tích cơ bản (FA)
Mục tiêuTìm ra “Giá trị nội tại” (Intrinsic Value)
Dữ liệu lõiBáo cáo tài chính, Báo cáo vĩ mô, Tokenomics
Tầm nhìnTrung đến Dài hạn (Tháng – Năm)
Câu hỏi chính“Tài sản này thực sự đáng giá bao nhiêu?”

Định nghĩa: Sức mạnh thực sự của FA là gì?

Nhiều nhà giao dịch mới bước vào thị trường thường bị cuốn vào những nhịp đập xanh đỏ của biểu đồ nến mà quên mất một quy luật bất biến: Giá cả (Price) cuối cùng sẽ luôn chạy về Giá trị (Value). Phân tích cơ bản chính là chiếc la bàn giúp bạn tìm ra “Giá trị” đó.

Không giống như các tin đồn hay tâm lý thị trường ngắn hạn (FUD/FOMO), FA dựa trên những dữ liệu cứng. Cho dù bạn đang giao dịch hợp đồng chênh lệch (CFD) trên các chỉ số như S&P 500, đầu tư chứng khoán cơ sở (VN-Index), hay đánh giá một dự án Web3 mới nổi, FA luôn tuân theo một cấu trúc phân tích từ trên xuống dưới (Top-down) hoặc từ dưới lên trên (Bottom-up).

Mô hình phân tích Top-Down trong FA

  1. Phân tích Vĩ mô (Macroeconomic): Tình hình kinh tế toàn cầu, chính sách tiền tệ (Lãi suất của Fed, NHNN), lạm phát, GDP.
  2. Phân tích Ngành (Industry): Chu kỳ phát triển của ngành, rào cản gia nhập, đối thủ cạnh tranh.
  3. Phân tích Vi mô (Microeconomic/Company): Báo cáo tài chính (Bảng Cân đối kế toán, Kết quả kinh doanh, Lưu chuyển tiền tệ), Đội ngũ lãnh đạo.

“Deep-dive” 3 Báo Cáo Tài Chính (Trái tim của Phân tích Vi mô)

3 Báo Cáo Tài Chính (Trái tim của Phân tích Vi mô)

Nhìn vào báo cáo tài chính không phải là nhìn vào một rừng những con số khô khan. Đó là việc bạn đọc “hồ sơ bệnh án” của một doanh nghiệp. Một nhà phân tích FA lão luyện không bao giờ đọc dàn trải, họ “soi” thẳng vào 3 trọng điểm sau:

1. Bảng Cân đối kế toán (Balance Sheet) – Bức tranh sức khỏe tài chính Đừng chỉ nhìn vào “Tổng tài sản”. Tài sản phình to nhờ đi vay không phải là tín hiệu tốt. Hãy kiểm tra ngay:

  • Tỷ lệ Nợ vay/Vốn chủ sở hữu (D/E): Nếu tỷ lệ này > 1.5 (trừ ngành ngân hàng/bất động sản), doanh nghiệp đang dùng đòn bẩy quá cao. Khi lãi suất tăng, chi phí lãi vay sẽ “ăn mòn” toàn bộ lợi nhuận.
  • Chất lượng tài sản: Phải thu khách hàng và Hàng tồn kho có tăng đột biến so với doanh thu không? Nếu có, doanh nghiệp có thể đang “xào nấu” doanh thu ảo hoặc bán hàng không thu được tiền thật.

2. Báo cáo Kết quả Kinh doanh (Income Statement) – Khả năng in tiền Nhiều nhà đầu tư F0 thường mắc bẫy khi chỉ nhìn vào con số “Lợi nhuận sau thuế” (Bottom line). Lợi nhuận có thể bị bóp méo bởi các khoản thu nhập bất thường (bán đất, bán công ty con).

  • Tập trung vào Lợi nhuận cốt lõi (Core Earnings): Lợi nhuận phải đến từ hoạt động kinh doanh chính. Một công ty thép phải kiếm tiền từ việc bán thép, chứ không phải từ việc đem tiền đi đánh chứng khoán.
  • Biên lợi nhuận gộp (Gross Margin): Sự sụt giảm biên lợi nhuận gộp qua các quý liên tiếp là tín hiệu “báo động đỏ”, cho thấy công ty đang mất lợi thế cạnh tranh và phải hạ giá bán để đẩy hàng.

3. Báo cáo Lưu chuyển tiền tệ (Cash Flow) – Vua của các loại báo cáo Lợi nhuận trên giấy có thể bị thao túng, nhưng dòng tiền chảy vào tài khoản ngân hàng thì không.

  • Dòng tiền hoạt động kinh doanh (CFO): Bắt buộc phải dương và lý tưởng nhất là lớn hơn Lợi nhuận sau thuế. Nếu công ty báo lãi kỷ lục nhưng CFO âm liên tục, công ty đó đang “chảy máu” tiền mặt và nguy cơ phá sản là hiện hữu.

Góc nhìn chuyên gia:

Rủi ro lớn nhất của nhà đầu tư bán lẻ là chỉ nhìn vào vi mô (báo cáo công ty) mà bỏ qua vĩ mô. Một dự án Crypto có Tokenomics tốt đến mấy, hay một công ty có EPS cao thế nào, cũng sẽ bị bán tháo nếu Fed bất ngờ tăng lãi suất gây khủng hoảng thanh khoản toàn cầu. Vĩ mô luôn dẫn đường.

Giải mã các Chỉ số Cốt lõi trong Phân tích Cơ bản

Để không bị lạc trong ma trận số liệu, bạn chỉ cần nắm vững 4 nhóm chỉ số định giá quyền lực sau đây:

Chỉ số Cốt lõi trong Phân tích Cơ bản

1. Nhóm Định Giá (Valuation Ratios)

  • P/E (Price to Earnings): Giá thị trường trên Thu nhập mỗi cổ phiếu. P/E thấp thường cho thấy cổ phiếu đang rẻ, nhưng cẩn thận với “Value Trap” (Bẫy giá trị) nếu lợi nhuận công ty đang suy giảm.
  • P/B (Price to Book): Giá trên Giá trị sổ sách. Rất hữu ích khi định giá các công ty tài chính, ngân hàng.

2. Nhóm Khả năng Sinh lời (Profitability Ratios)

  • ROE (Return on Equity): Lợi nhuận trên Vốn chủ sở hữu. Công ty giữ được ROE > 15% trong 3 năm liên tiếp thường là doanh nghiệp có lợi thế cạnh tranh bền vững.
  • Biên lợi nhuận gộp (Gross Margin): Thể hiện khả năng định giá sản phẩm và kiểm soát giá vốn.

3. FA trong Crypto (Phân tích On-chain & Tokenomics)

Phân tích cơ bản không chỉ dành cho cổ phiếu truyền thống. Với tiền điện tử, FA khoác lên mình một tấm áo mới:

  • Whitepaper & Đội ngũ: Tính khả thi của dự án.
  • Tokenomics: Lịch unlock token, tỷ lệ lạm phát, cơ chế đốt (Burn mechanism). Nếu cung lưu thông tăng quá nhanh mà không có lực cầu thực tế (Utility), giá trị sẽ pha loãng trầm trọng.
  • Active Wallets / TVL (Total Value Locked): Số lượng người dùng thực và dòng tiền đang bị khóa trong mạng lưới.

Góc nhìn Vĩ mô 2026: Đâu là điểm xoay trục (Pivot) của dòng tiền?

Tiến vào giữa năm 2026, bức tranh vĩ mô đã có những sự dịch chuyển khổng lồ so với chu kỳ thắt chặt của các năm trước. Việc phân tích cơ bản lúc này đòi hỏi bạn phải nắm bắt được các “từ khóa” vĩ mô sau:

1. Chu kỳ hạ lãi suất và tỷ giá USD/VND Dòng tiền thông minh luôn chảy về nơi có chi phí vốn rẻ. Khi Fed bước vào giai đoạn nới lỏng chính sách, áp lực lên tỷ giá USD/VND hạ nhiệt đáng kể. Ngân hàng Nhà nước (NHNN) Việt Nam có dư địa lớn hơn để duy trì mặt bằng lãi suất thấp, bơm thanh khoản ra thị trường.

  • Hành động: Đây là chất xúc tác (Catalyst) hoàn hảo cho các nhóm ngành thâm dụng vốn như Bất động sản, Chứng khoán và Bán lẻ phục hồi mạnh mẽ trên sàn HOSE.

2. Tiền điện tử (Crypto) bước vào kỷ nguyên “Institutional” Phân tích cơ bản Crypto năm 2026 không còn là trò chơi bơm xả của các meme coin. Với sự chấp thuận rộng rãi của các quỹ ETF Giao ngay (Spot ETF) cho Bitcoin và Ethereum, cùng với việc Đạo luật MiCA (Thị trường tài sản tiền điện tử) của châu Âu đi vào thực tiễn, dòng vốn từ các tổ chức tài chính truyền thống (Institutions) đã chính thức định hình lại sân chơi.

  • Hành động: Khung định giá FA cho Crypto giờ đây phải bao gồm việc theo dõi “Net Inflow/Outflow” (Dòng tiền ròng) từ các quỹ ETF hàng ngày thay vì chỉ đọc Whitepaper.

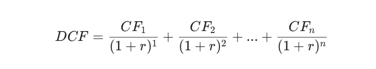
Thực chiến: Template Định giá DCF (Discounted Cash Flow)

Để chiến thắng thị trường, bạn không thể chỉ “ước lượng”. Bạn cần một mô hình toán học. DCF là phương pháp chiết khấu dòng tiền tương lai về hiện tại để tìm ra giá trị thực.

Công thức lõi:

 Template Định giá DCF (Discounted Cash Flow)

Trong đó:

  • CF (Cash Flow): Dòng tiền tự do dự phóng các năm tới.
  • r (Discount Rate): Tỷ suất chiết khấu (thường dùng WACC – Chi phí vốn bình quân gia quyền).
  • n: Số năm dự phóng.

Hướng dẫn bạn tự xây dựng File Excel định giá (3 Bước đơn giản):

  1. Dự phóng doanh thu & biên lợi nhuận: Lấy dữ liệu lịch sử 5 năm, đánh giá tốc độ tăng trưởng ngành trong bối cảnh 2026. Nhập vào Excel dự phóng FCF (Free Cash Flow) cho 5 năm tới.
  2. Xác định tỷ suất chiết khấu (r): Lãi suất phi rủi ro hiện tại (ví dụ: Trái phiếu chính phủ VN 10 năm đang ở mức ~3.5%) cộng với phần bù rủi ro thị trường.
  3. Tính Giá trị đầu cuối (Terminal Value): Xác định giá trị công ty sau 5 năm dự phóng, chiết khấu về hiện tại, chia cho tổng số lượng cổ phiếu lưu hành để ra Giá trị nội tại mỗi cổ phiếu.

Action: Nếu Giá thị trường < Giá trị nội tại (biên an toàn Margin of Safety > 20%), đây là điểm mua lý tưởng.

Phân tích Cơ bản (FA) vs Phân tích Kỹ thuật (TA)

Nên dùng FA hay TA? Câu trả lời của dân chuyên nghiệp là: Kết hợp cả hai.

Tiêu chíPhân tích Cơ bản (FA)Phân tích Kỹ thuật (TA)
Công cụ chínhBáo cáo tài chính, Tin tức vĩ môBiểu đồ, Chỉ báo (RSI, MACD), Khối lượng
Câu hỏi trả lời“MUA CÁI GÌ?” (What to buy)“MUA KHI NÀO?” (When to buy)
Điểm mùBỏ qua tâm lý thị trường, khó tìm điểm tối ưu để vào/ra lệnh.Có thể “bắt dao rơi” hoặc mua lầm rác nếu không hiểu nội tại tài sản.

Chiến lược kết hợp hoàn hảo: Dùng FA để lập danh sách Watchlist gồm các tài sản tốt bị định giá thấp. Sau đó, mở biểu đồ TA lên, dùng các vùng Hỗ trợ/Kháng cự và phân kỳ RSI để tìm điểm Entry/Exit tối ưu tỷ lệ Risk:Reward.

Case Study Thực chiến tại Việt Nam (Bối cảnh 2026)

Thuyết suông là không đủ. Hãy nhìn vào diễn biến thực tế của thị trường tài chính năm 2026.

1. Biến động Vàng SJC và FA Vĩ mô

Đầu năm 2026, khi có những tín hiệu nới lỏng chính sách tiền tệ mạnh mẽ hơn từ các ngân hàng trung ương toàn cầu, lợi suất trái phiếu giảm. Theo phân tích cơ bản vĩ mô, chi phí cơ hội của việc nắm giữ tài sản không sinh lãi như Vàng giảm xuống. Lực cầu trú ẩn an toàn tăng. Áp dụng FA giúp nhà đầu tư nhận diện sớm xu hướng tăng giá của Vàng vật chất (SJC) và Vàng tài khoản trước khi biểu đồ TA xác nhận đà break-out.

2. VN-Index và Lãi suất liên ngân hàng

Những ai nắm vững FA sẽ theo dõi sát sao biểu đồ Lãi suất liên ngân hàng qua đêm (O/N). Khi thanh khoản hệ thống dồi dào, lãi suất O/N duy trì mức thấp, dòng tiền rẻ có xu hướng chảy sang các kênh rủi ro hơn như chứng khoán. Việc phân tích số liệu tín dụng của NHNN giúp các nhà quản lý quỹ cơ cấu tỷ trọng danh mục vào nhóm ngành nhạy cảm với lãi suất như Bất động sản và Chứng khoán.

Case Study Điển hình: Áp dụng FA dự phóng siêu chu kỳ của HPG (Hòa Phát)

Case Study Điển hình: Áp dụng FA dự phóng siêu chu kỳ của HPG (Hòa Phát)

Để chứng minh sức mạnh của Phân tích cơ bản, hãy cùng đặt Cổ phiếu HPG – “Cổ phiếu quốc dân” của thị trường Việt Nam lên bàn cân định giá thông qua lăng kính Top-Down:

Bước 1: Vĩ mô & Chu kỳ Ngành (Macro & Industry) Năm 2026, Chính phủ tiếp tục đẩy mạnh giải ngân đầu tư công vào các siêu dự án hạ tầng (Đường cao tốc Bắc – Nam, Sân bay Long Thành giai đoạn tiếp theo). Đồng thời, thị trường bất động sản dân dụng đã qua giai đoạn “đóng băng” và bắt đầu chu kỳ xây dựng mới. Nhu cầu tiêu thụ thép nội địa tăng vọt.

Bước 2: Năng lực Vi mô (Company Profile) Nhìn vào nội tại, dự án Khu liên hợp Dung Quất 2 của Hòa Phát đã chính thức đi vào vận hành tối đa công suất, bổ sung thêm hàng triệu tấn thép HRC mỗi năm. Quan trọng hơn, báo cáo tài chính cho thấy tỷ lệ Nợ vay/Vốn chủ sở hữu của HPG đã giảm mạnh nhờ việc dùng lợi nhuận giữ lại để trả nợ trong các năm trước. CFO (Dòng tiền kinh doanh) dương kỷ lục.

Bước 3: Định giá (Valuation) & So sánh (TA) Bằng việc chạy mô hình DCF (như File Template phía trên), với giả định tăng trưởng FCF cực kỳ bảo thủ là 8%/năm, giá trị nội tại của HPG được tính toán rơi vào khoảng 45.000 VNĐ/cổ phiếu. Tuy nhiên, do những lo ngại ngắn hạn về giá quặng sắt thế giới, giá thị trường của HPG đang bị bán tháo về mức 32.000 VNĐ.

  • FA cho ra kết luận: HPG đang bị định giá thấp hơn giá trị thực (Undervalued) với Biên an toàn > 28%. Điểm mua chiến lược đã xuất hiện.
  • Kết hợp TA: Mở biểu đồ kỹ thuật, HPG vừa chạm vùng Hỗ trợ mạnh dài hạn (MA200 tuần) và chỉ báo RSI xuất hiện phân kỳ dương. Đây là “Trigger” hoàn hảo để xuống tiền.

 The Mitrade Edge: Chớp thời cơ với Margin

Khi FA chỉ ra một xu hướng vĩ mô rõ rệt kéo dài (như chu kỳ nới lỏng tiền tệ), việc sử dụng đòn bẩy thông qua các công cụ phái sinh, CFD trên nền tảng uy tín sẽ giúp tối ưu hóa lợi nhuận. Tuy nhiên, đòn bẩy là con dao hai lưỡi, chỉ dùng khi bạn đã hoàn thành bài tập định giá FA của mình.

Câu Hỏi Thường Gặp 

1. Người mới bắt đầu nên học Phân tích cơ bản từ đâu?

Nên bắt đầu từ Phân tích vĩ mô cơ bản (Hiểu về Lạm phát, Lãi suất) trước khi nhảy vào đọc Báo cáo tài chính (Bảng cân đối kế toán, Kết quả kinh doanh).

2. FA mất bao lâu để phát huy hiệu quả?

Thường từ 6 tháng đến vài năm. FA không dành cho Day Trading (giao dịch trong ngày) vì giá trị nội tại cần thời gian để phản ánh vào giá thị trường.

3. Phân tích cơ bản áp dụng cho Crypto có chính xác không?

Có, nhưng cần thay đổi lăng kính. Thay vì P/E, bạn phân tích Tokenomics, On-chain data (số lượng ví hoạt động, khối lượng giao dịch thật) và đội ngũ phát triển.

4. Bẫy giá trị (Value Trap) trong FA là gì?

Là khi bạn mua một cổ phiếu có chỉ số P/E rất thấp (tưởng là rẻ) nhưng lợi nhuận của công ty đó đang suy giảm vĩnh viễn do mô hình kinh doanh bị lỗi thời. Cổ phiếu đó không rẻ, nó đang chết dần.

5. Lạm phát ảnh hưởng thế nào đến định giá cổ phiếu?

Lạm phát cao làm tăng chi phí đầu vào của doanh nghiệp và thường buộc Ngân hàng Trung ương tăng lãi suất. Lãi suất tăng làm mẫu số trong công thức DCF (tỷ suất chiết khấu) tăng, dẫn đến định giá (giá trị hiện tại) của cổ phiếu giảm xuống.

6. Nên đọc báo cáo tài chính ở nguồn nào tin cậy?

Nên lấy trực tiếp từ website của doanh nghiệp (phần Quan hệ Cổ đông – Investor Relations), hoặc các trang dữ liệu tài chính như Bloomberg, Reuters, hoặc Vietstock/CafeF tại Việt Nam.

7. Làm sao để áp dụng FA vào giao dịch phái sinh/chỉ số (Indices)?

Tập trung 100% vào kinh tế vĩ mô. Giao dịch S&P 500 hay VN-Index CFD đòi hỏi bạn phải theo dõi sát GDP, tỷ lệ thất nghiệp (Non-farm), và các cuộc họp định kỳ của Fed/NHNN.

KẾT LUẬN 

Phân tích cơ bản (FA) không phải là việc đếm cua trong lỗ. Nó là nghệ thuật bóc tách sự thật từ những con số, giúp bạn loại bỏ rác thải của thị trường và tập trung vào những tài sản sinh lời thực sự. Bất kể bạn đang giao dịch thị trường nào, một nền tảng tư duy FA vững chắc là khiên chắn tốt nhất trước những biến động khó lường.

Hành động quyết định thành quả! Kiến thức về Phân tích cơ bản (FA) hay Mô hình DCF sẽ chỉ là lý thuyết suông nếu bạn không trực tiếp áp dụng chúng vào thực chiến. Thị trường tài chính 2026 đang mở ra những cơ hội chu kỳ hiếm có cho những ai biết tính toán “Giá trị nội tại”.

Đã có vũ khí trong tay, đã đến lúc bước ra chiến trường. Mở ngay tài khoản thực tế (Live Account) hoặc tài khoản Demo với 50.000$ tiền ảo để thực hành định giá, kết hợp các chỉ báo TA tiên tiến và bắt đầu hành trình giao dịch chuyên nghiệp của bạn. 👉 [Đăng ký Tài khoản và Nhận Bonus Giao dịch ngay hôm nay!]

Đọc thêm để hoàn thiện kỹ năng:

  1. Hướng dẫn đọc Báo cáo tài chính cho người mới bắt đầu (2026)
  2. Tokenomics 101: Cách định giá các dự án Crypto tiềm năng
  3. Tuyệt chiêu kết hợp RSI và Định giá P/B để bắt đáy cổ phiếu

Về Tác Giả & Ban Cố Vấn Báo Cáo: Bài phân tích này được thực hiện bởi Nicky Minh – Senior Financial Market Analyst & Content Strategist. Với hơn 5 năm kinh nghiệm thực chiến phân tích định lượng trên các thị trường trọng yếu (Chứng khoán, Chỉ số vĩ mô và Tiền điện tử), mọi dữ liệu trong báo cáo đều được trích xuất từ tài khoản Real và đối chiếu trực tiếp với các biến số kinh tế tài chính năm 2026. Chúng tôi không đánh giá dựa trên thông cáo báo chí, chúng tôi đánh giá bằng sự sống còn của dòng vốn.

Tài liệu này được cập nhật lần cuối: 03/2026

Kiểm duyệt nội dung: Bài viết này đã được kiểm tra và hiệu đính chuyên môn bởi Nicky Minh – Chuyên gia Phân tích Dữ liệu Tài chính. Với nền tảng vững chắc về Growth Marketing và Content Strategy, Nicky đảm bảo các thông tin được truyền tải không chỉ chính xác về mặt số liệu mà còn mang lại giá trị thực tiễn cho độc giả.

Kết nối với chuyên gia: Nicky Minh | LinkedIn

Tuyên bố miễn trừ trách nhiệm

Bài viết này chỉ mang tính chất giáo dục và thông tin. Không phải lời khuyên đầu tư hoặc khuyến nghị giao dịch. Giao dịch tài chính phái sinh có rủi ro cao và có thể không phù hợp với tất cả nhà đầu tư. Quá khứ không đảm bảo kết quả tương lai. Hãy tham khảo cố vấn tài chính trước khi đầu tư.

Khám phá thêm​

03 bước đơn giản để giao dịch toàn cầu với 50.000 vốn ảo miễn phí