RSI (Relative Strength Index) là gì?
Chỉ số sức mạnh tương đối (RSI) là một bộ dao động động lượng (momentum oscillator) đo lường tốc độ và sự thay đổi của chuyển động giá. Chỉ báo này dao động từ 0 đến 100. Theo truyền thống, tài sản được coi là “Quá mua” (Overbought) khi RSI vượt mức 70 và “Quá bán” (Oversold) khi RSI rớt xuống dưới 30. Tuy nhiên, trong thị trường biến động năm 2026, việc áp dụng máy móc các mốc này thường dẫn đến thua lỗ do bẫy thanh khoản của dòng tiền lớn.
Sự khác biệt giữa một nhà giao dịch nghiệp dư và một chuyên gia nằm ở việc thấu hiểu bản chất toán học của chỉ báo. Nếu bạn chỉ nhìn RSI cắt lên 30 để mua và cắt xuống 70 để bán, bạn đang trở thành “thanh khoản” cho các quỹ đầu tư lớn.
Bài viết này không chỉ dừng lại ở lý thuyết suông. Chúng ta sẽ “giải phẫu” công thức tính RSI, phân tích cách các tổ chức tài chính tạo bẫy, và cung cấp một hệ thống giao dịch thực chiến áp dụng trực tiếp cho chứng khoán Việt Nam và thị trường quốc tế trong bối cảnh 2026.
Contents
- 1. Giải Phẫu Toán Học: Công Thức Tính RSI Chi Tiết
- 2. Bẫy Thanh Khoản 2026: Tại Sao Quá Mua/Quá Bán Giết Chết Trader?
- 3. Tín Hiệu Phân Kỳ (RSI Divergence): Vũ Khí Tối Thượng Để Bắt Đỉnh Đáy
- 4. Multi-Timeframe Analysis: Nhìn Xuyên Thấu Thị Trường Bằng RSI Đa Khung Thời Gian
- 5. Kết Hợp RSI Với Các Chỉ Báo Khác (Tạo Hệ Thống Giao Dịch Chén Thánh)
- 6. Case Study: VN-Index & Cổ Phiếu Ngân Hàng Quý 1/2026
- 7. Thực Chiến RSI Trên Nền Tảng Mitrade
- 8. Câu Hỏi Thường Gặp
1. Giải Phẫu Toán Học: Công Thức Tính RSI Chi Tiết
Để không bị lừa bởi các tín hiệu giả, bạn phải hiểu máy tính đang làm gì để vẽ ra đường RSI trên biểu đồ. Chỉ số RSI được giới thiệu lần đầu bởi J. Welles Wilder vào năm 1978. Dù thị trường đã qua hàng thập kỷ, nền tảng toán học của nó vẫn không thay đổi.

1.1. Công thức tổng quát
Chỉ số RSI được tính toán thông qua hai bước cơ bản. Trái tim của RSI nằm ở RS (Relative Strength – Sức mạnh tương đối).

Công thức tính RS:
Trong đó:
- Average Gain (Trung bình mức tăng): Trung bình của các phiên tăng điểm trong chu kỳ n.
- Average Loss (Trung bình mức giảm): Trung bình của các phiên giảm điểm trong chu kỳ n (lấy giá trị tuyệt đối).
- n: Số chu kỳ (mặc định và phổ biến nhất là 14).
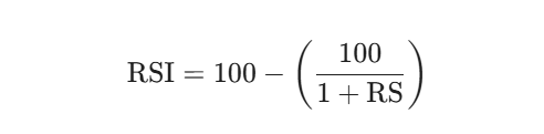
Sau khi có RS, ta áp dụng công thức chuẩn hóa để giới hạn giá trị trong khoảng từ 0 đến 100:

1.2. Cách tính RSI thực tế (Ví dụ Step-by-Step)
Giả sử bạn đang xem xét cổ phiếu HPG trên biểu đồ ngày (D1) với chu kỳ 14 ngày.

Bước 1: Tính RSI cho phiên đầu tiên (Ngày thứ 14)
Bạn cộng tổng mức tăng của các ngày đóng cửa xanh và chia cho 14. Tương tự, cộng tổng mức giảm của các ngày đóng cửa đỏ (giá trị tuyệt đối) và chia cho 14.
- Giả sử Tổng tăng = 28 điểm -> Average Gain = $28 / 14 = 2$.
- Giả sử Tổng giảm = 14 điểm -> Average Loss = $14 / 14 = 1$.
- RS = 2 / 1 = 2
- RSI = 100 – (100 / (1 + 2)) = 100 – 33.33 = 66.67.
Bước 2: Tính RSI cho các phiên tiếp theo (Sử dụng Smoothing – Làm mượt)
Wilder sử dụng kỹ thuật làm mượt để dữ liệu không bị giật cục khi một ngày có biến động quá mạnh rơi khỏi chu kỳ 14 ngày:

Nhận định chuyên sâu: Chính vì việc sử dụng cơ chế “Smoothing” (nhân giá trị cũ với $n-1$), RSI mang tính trễ (Lagging) nhẹ so với giá nhưng lại phản ánh cực tốt xung lực tích lũy. Nếu giá tăng nhưng RSI không tăng tương ứng, điều đó có nghĩa là các mức tăng hiện tại đang yếu đi so với lịch sử 14 ngày trước đó.
2. Bẫy Thanh Khoản 2026: Tại Sao Quá Mua/Quá Bán Giết Chết Trader?
Vào những năm 2000, việc mua ở RSI 30 và bán ở RSI 70 có thể mang lại lợi nhuận. Tuy nhiên, năm 2026, với sự tham gia của các thuật toán giao dịch tần suất cao (HFT) và các quỹ ETF chủ động, quy tắc này đã bị bẻ gãy.
2.1. Nghịch lý của xu hướng siêu mạnh (Super Trend Paradox)
Khi một tài sản bước vào chu kỳ tăng trưởng mạnh (Uptrend), RSI có thể kẹt ở vùng Quá Mua (>70) hoặc thậm chí >80 trong nhiều tuần liền.
Bảng So Sánh 1: RSI Lý Thuyết vs. Thực Tế Giao Dịch 2026

| Tiêu chí | Sách giáo khoa phân tích kỹ thuật | Thực tế thị trường (SMC/Thuật toán) |
| RSI vượt 70 | Tín hiệu bán (Quá mua), thị trường kiệt sức. | Giá bước vào pha tăng tốc bứt phá. Lực cầu đang áp đảo hoàn toàn. |
| RSI rớt dưới 30 | Tín hiệu mua (Quá bán), thị trường quá rẻ. | Giá đang rơi tự do, phe gấu kiểm soát. Mua vào là “bắt dao rơi”. |
| Mức 50 | Thường bị bỏ qua hoặc coi là vùng trung tính. | Vùng quyết định xu hướng. Bật lên từ 50 trong Uptrend là điểm gia tăng vị thế cực đẹp. |
2.2. Hiện tượng Liquidity Sweep (Quét Thanh Khoản)
Các nhà cái (Market Makers) biết rõ đám đông đặt Stop-loss ở đâu. Khi RSI tiến về vùng 30, đám đông nhà đầu tư cá nhân bắt đầu “bắt đáy” và đặt cắt lỗ ngay dưới râu nến gần nhất. Giá sẽ bất ngờ sập mạnh thêm một nhịp, xuyên thủng đáy hỗ trợ (tạo False Breakout), quét sạch Stop-loss của phe mua. Sau khi lấy đủ thanh khoản, giá mới thực sự đảo chiều đi lên.
GÓC NHÌN CHUYÊN GIA TỪ MITRADE
Lỗi lớn nhất của các nhà đầu tư F0 là coi RSI như một chiếc đồng hồ báo thức tuyệt đối. RSI 30 hay 70 không phải là vạch kẻ đường, chúng là khu vực cảnh báo động lượng. Đừng bao giờ vào lệnh chỉ vì RSI chạm 30. Hãy chờ một mô hình nến đảo chiều (Pin Bar, Engulfing) hoặc tín hiệu phân kỳ xác nhận xuất hiện tại vùng 30 đó. Trên nền tảng Mitrade, chúng tôi luôn khuyến nghị khách hàng kết hợp RSI cùng khối lượng (Volume) để tránh sập bẫy.
3. Tín Hiệu Phân Kỳ (RSI Divergence): Vũ Khí Tối Thượng Để Bắt Đỉnh Đáy
Nếu vùng 30/70 là những cái bẫy, thì đâu là công cụ thực sự? Câu trả lời nằm ở Phân kỳ (Divergence). Đây là sự lệch pha giữa hành động giá (Price Action) và động lượng (Momentum).
3.1. Phân Kỳ Thường (Regular Divergence) – Dấu hiệu đảo chiều
Phân kỳ thường báo hiệu một xu hướng đang kiệt sức và chuẩn bị đảo chiều.
- Phân kỳ thường tăng giá (Bullish Divergence): Xảy ra trong một xu hướng giảm. Giá tạo Đáy thấp hơn (Lower Low), nhưng RSI lại tạo Đáy cao hơn (Higher Low). Điều này chứng tỏ phe bán vẫn ép giá xuống, nhưng áp lực bán (động lượng) đã cạn kiệt. Chờ đợi một nhịp bật tăng.
- Phân kỳ thường giảm giá (Bearish Divergence): Xảy ra trong một xu hướng tăng. Giá tạo Đỉnh cao hơn (Higher High), nhưng RSI tạo Đỉnh thấp hơn (Lower High). Lực mua đã yếu dẫu giá vẫn bị đẩy lên do quán tính. Đây là lúc chốt lời.
3.2. Phân Kỳ Ẩn (Hidden Divergence) – Bí mật của việc nhồi lệnh thuận xu hướng
Đây là kiến thức cấp cao mà ít nhà đầu tư chú ý. Phân kỳ ẩn không báo hiệu đảo chiều, mà báo hiệu sự tiếp diễn của xu hướng hiện tại.
- Phân kỳ ẩn tăng giá (Hidden Bullish): Trong xu hướng tăng, Giá tạo Đáy cao hơn (Higher Low), nhưng RSI lại tạo Đáy thấp hơn (Lower Low). Ý nghĩa: Mặc dù động lượng giảm sâu (RSI rớt mạnh), phe bán vẫn không thể đẩy giá xuống thấp hơn đáy cũ. Phe mua đang hấp thụ cung cực tốt. Đây là điểm MUA GIA TĂNG (Add position) tuyệt vời.
- Phân kỳ ẩn giảm giá (Hidden Bearish): Trong xu hướng giảm, Giá tạo Đỉnh thấp hơn (Lower High), nhưng RSI tạo Đỉnh cao hơn (Higher High). Ý nghĩa: Động lượng phục hồi mạnh, nhưng phe mua quá yếu ớt không thể phá được đỉnh giá cũ. Đây là điểm ĐÁNH XUỐNG (Short) an toàn.
Bảng So Sánh: Nhận Diện Nhanh Các Loại Phân Kỳ RSI
| Loại Phân Kỳ | Hành Động Giá (Price) | Động Lượng (RSI) | Ý Nghĩa / Hành Động |
| Regular Bullish | Đáy Thấp Hơn (LL) | Đáy Cao Hơn (HL) | Xu hướng giảm kiệt sức -> CANH MUA |
| Regular Bearish | Đỉnh Cao Hơn (HH) | Đỉnh Thấp Hơn (LH) | Xu hướng tăng kiệt sức -> CANH BÁN |
| Hidden Bullish | Đáy Cao Hơn (HL) | Đáy Thấp Hơn (LL) | Lực mua hấp thụ tốt -> MUA THÊM (Pullback) |
| Hidden Bearish | Đỉnh Thấp Hơn (LH) | Đỉnh Cao Hơn (HH) | Lực bán chèn ép mạnh -> BÁN THÊM |
4. Multi-Timeframe Analysis: Nhìn Xuyên Thấu Thị Trường Bằng RSI Đa Khung Thời Gian
Một sai lầm phổ biến khác là chỉ phân tích RSI trên một khung thời gian duy nhất. Để giao dịch có tỷ lệ thắng (Win-rate) cao, bạn cần áp dụng nguyên tắc “Top-Down Analysis” (Từ trên xuống dưới).
Quy tắc số 1: Khung lớn định hình xu hướng, khung nhỏ tìm điểm vào.
- Bước 1: Xác định xu hướng chính bằng D1 (Daily) hoặc W1 (Weekly). Nếu RSI trên khung D1 đang ở mức 60 và hướng lên, xu hướng vĩ mô là Tăng.
- Bước 2: Tìm điểm vào lệnh tại H4 hoặc H1. Chờ đợi giá điều chỉnh ngắn hạn (Pullback) trên khung H1. Khi RSI của H1 rơi về vùng 30 hoặc xuất hiện Phân kỳ ẩn tăng giá trên H1, đó là điểm Trigger (Bóp cò) để mua theo xu hướng của D1.
Việc đánh ngược xu hướng khung lớn (Ví dụ: D1 RSI đang 65 băng băng đi lên, nhưng H1 RSI chạm 70 bạn liền Short/Bán khống) là cách nhanh nhất để cháy tài khoản.
5. Kết Hợp RSI Với Các Chỉ Báo Khác (Tạo Hệ Thống Giao Dịch Chén Thánh)

Không có chỉ báo nào độc lập hoàn hảo. RSI đo lường động lượng, vì vậy nó cần được kết hợp với các chỉ báo đo lường Xu hướng (Trend) và Biến động (Volatility).
5.1. RSI + MACD (Bộ Đôi Hoàn Hảo)
MACD (Moving Average Convergence Divergence) chậm hơn RSI. RSI sẽ phát tín hiệu phân kỳ trước, sau đó MACD cắt đường tín hiệu (Signal Line) sẽ đóng vai trò xác nhận (Confirmation).
- Chiến lược: Khi RSI xuất hiện phân kỳ thường ở đáy. Đừng mua vội. Chờ Histogram của MACD chuyển từ đỏ đậm sang đỏ nhạt hoặc xanh, và đường MACD cắt lên đường Signal. Khi 2 điều kiện này hội tụ, xác suất thành công lên tới hơn 80%.
5.2. RSI + Bollinger Bands (Bắt Đỉnh Đáy Cực Hạn)
Bollinger Bands đo lường độ lệch chuẩn của giá.
- Chiến lược: Khi giá đâm xuyên thủng dải Band dưới (Lower Band) cộng với việc RSI đâm thủng mức 30 và hình thành mẫu nến rút chân, đây là tín hiệu “Cao su kéo căng cực đại”. Giá sẽ có xu hướng “Snap back” (bật nảy) về lại đường SMA 20 ở giữa (Middle Band).
GÓC NHÌN CHUYÊN GIA TỪ MITRADE
Trong nền tảng Mitrade, bạn có thể dễ dàng thiết lập lưu các Template biểu đồ. Hãy tạo một Template kết hợp: Cấu trúc nến Heikin Ashi + RSI (14) + EMA (200). EMA 200 đóng vai trò bộ lọc xu hướng dài hạn. Chỉ mua khi giá nằm trên EMA 200 và RSI điều chỉnh về quanh mốc 40-50, bật lên. Tuyệt đối không Short khi giá đang ở trên EMA 200 dù RSI có chạm 80.
6. Case Study: VN-Index & Cổ Phiếu Ngân Hàng Quý 1/2026
Hãy nhìn lại thực tế thị trường chứng khoán Việt Nam đầu năm 2026. Khi VN-Index chinh phục lại vùng đỉnh cũ, nhóm cổ phiếu Ngân hàng (Ví dụ: VCB, BID, CTG) dẫn sóng.
Bối cảnh: Đầu tháng 2/2026, dòng tiền khối ngoại đổ dồn vào nhóm Bank đẩy chỉ số RSI của các mã này trên khung D1 lên mức 82-85.
Hành động của F0: Đọc sách kỹ thuật cũ, thấy RSI > 70 là “Quá Mua”, liền mang hàng ra chốt lời hoặc không dám mua thêm.
Diễn biến thực tế: Cổ phiếu Ngân hàng đi ngang (sideway) biên độ hẹp trong 1 tuần, RSI “nguội” dần về mức 65, nhưng giá KHÔNG HỀ GIẢM mạnh. Ngay sau đó, một dòng tiền mới bùng nổ, đẩy giá cổ phiếu Bank tăng thêm 15% chỉ trong 2 tuần tiếp theo.
Bài học rút ra từ phân tích công thức RSI: Nhớ lại công thức toán học ở phần 1. RSI giảm từ 85 về 65 khi giá đi ngang là do Average Gain của các ngày tăng bứt phá trước đó rơi ra khỏi chu kỳ 14 ngày, không phải do lực bán (Average Loss) mạnh lên. Đây là quá trình “tiêu hóa” rsi (Reset Momentum) chứ không phải đảo chiều. Nếu hiểu bản chất toán học, bạn đã giữ chặt hàng và ăn trọn sóng cuối.
Bảng So Sánh: Tinh Chỉnh Chu Kỳ RSI Theo Lớp Tài Sản ( 2026)

| Loại Tài Sản | Độ Biến Động | Chu kỳ RSI Khuyến Nghị | Nhận Xét Của Chuyên Gia |
| Cổ Phiếu (VN-Index) | Trung bình | 14 (Mặc định) | Phù hợp với chu kỳ dòng tiền T+2.5 hiện tại ở Việt Nam. |
| Forex (EUR/USD…) | Cao, liên tục 24/5 | 9 hoặc 14 | Chu kỳ 9 nhạy hơn cho các Scalper đánh lướt sóng khung M15, M30. |
| Crypto (Bitcoin) | Rất Cao, 24/7 | 14 hoặc 21 | Chu kỳ 21 giúp lọc bớt tín hiệu nhiễu cực mạnh (whipsaws) do các cú pump/dump. |
7. Thực Chiến RSI Trên Nền Tảng Mitrade
Bạn đã nắm vững lý thuyết toán học, các bẫy thanh khoản và chiến thuật phân kỳ đa khung thời gian. Bước tiếp theo là áp dụng vào một môi trường thực tế với tốc độ khớp lệnh không độ trễ.
Mitrade là nền tảng giao dịch được cấp phép quốc tế, cung cấp công cụ biểu đồ nâng cao hoàn toàn miễn phí.
Tại sao nên thử nghiệm RSI trên Mitrade?
- Chỉ báo trực quan & Tùy biến sâu: Bạn có thể tinh chỉnh màu sắc, chu kỳ RSI (từ 14 đổi sang 9 hoặc 21 chỉ với 1 click) để phù hợp với chiến lược cá nhân.
- Khớp lệnh tức thì (Zero-lag execution): Khi RSI xác nhận phân kỳ trên khung H1, việc chậm trễ 1-2 giây có thể khiến bạn mất điểm vào đẹp. Hệ thống của Mitrade đảm bảo lệnh được thực thi tức thì.
- Bảo vệ số dư âm & Công cụ rủi ro: Ngay cả khi tín hiệu RSI bị nhiễu, các công cụ quản trị rủi ro như Stop-loss và Trailing Stop của Mitrade sẽ bảo vệ vốn của bạn tự động.
👉 HÀNH ĐỘNG NGAY: Đừng để kiến thức chỉ nằm trên giấy.
- Bước 1: [Đăng ký tài khoản Demo Mitrade ngay hôm nay] và nhận 50.000 USD tiền ảo.
- Bước 2: Mở biểu đồ Vàng (XAU/USD) hoặc Bitcoin (BTC/USD) khung H1.
- Bước 3: Cài đặt RSI (14) và thực hành tìm kiếm ít nhất 3 tín hiệu Phân kỳ ẩn (Hidden Divergence) để kiểm chứng tỷ lệ thắng!
8. Câu Hỏi Thường Gặp
Để hoàn thiện bức tranh toàn cảnh về “Công thức tính RSI” và cách áp dụng, dưới đây là giải đáp cho các câu hỏi ngách mà giới đầu tư quan tâm nhất năm 2026.
Q1: Có thể tính công thức RSI trên Excel không?
Hoàn toàn được. Bạn cần xuất dữ liệu giá đóng cửa (Close price) của ít nhất 15 phiên. Cột A là giá, Cột B tính mức thay đổi (Giá hôm nay – Giá hôm qua). Cột C tách các số dương (Gain), Cột D tách các số âm thành dương (Loss). Sau đó dùng hàm AVERAGE cho 14 ngày đầu, và áp dụng công thức Smoothing (như đã phân tích ở phần 1.2) cho các ngày sau. Cuối cùng tính $RSI = 100 – (100 / (1 + (C/D)))$.
Q2: RSI cắt đường 50 từ dưới lên có ý nghĩa gì?
Mức 50 là ranh giới giữa phe bò (mua) và phe gấu (bán). Khi RSI cắt từ dưới lên 50, nó báo hiệu động lượng trung bình của các phiên tăng đang bắt đầu áp đảo các phiên giảm. Trong nhiều hệ thống giao dịch theo xu hướng, đây là tín hiệu xác nhận một chu kỳ Uptrend mới bắt đầu.
Q3: Tại sao dùng RSI 14 mà không phải con số khác?
J. Welles Wilder chọn con số 14 vì nó đại diện cho một nửa chu kỳ quay vòng của mặt trăng (28 ngày), một khái niệm thời gian tự nhiên mà ông tin rằng có ảnh hưởng đến tâm lý đám đông trong giao dịch. Tuy nhiên, nếu bạn đánh lướt sóng (Scalping), bạn có thể thử RSI 9 để báo hiệu nhanh hơn.
Q4: Có nên kết hợp RSI và Stochastic Oscillator không?
Có, chiến lược này gọi là “Double Momentum”. Stochastic phản ứng cực nhanh với giá hiện tại, trong khi RSI đo lường sự tích lũy sức mạnh. Khi cả Stochastic và RSI cùng nằm dưới 20/30 và cùng móc lên, độ tin cậy của lệnh bắt đáy sẽ cao hơn đáng kể.
Q5: “RSI Failure Swing” (Đảo chiều thất bại) là gì?
Đây là một mô hình cực mạnh do chính Wilder sáng tạo. Đảo chiều thất bại tăng giá xảy ra khi RSI rớt xuống dưới 30, nảy lên (tạo đáy 1), sau đó rớt xuống nhưng KHÔNG thủng 30 (tạo đáy 2), và cuối cùng vượt qua đỉnh kẹp giữa 2 đáy đó. Nó hoạt động như một mô hình 2 đáy (Double Bottom) độc lập ngay trên chỉ báo RSI.
Q6: Làm sao để tránh tín hiệu nhiễu của RSI trong thị trường Sideway (đi ngang)?
Trong thị trường đi ngang, RSI sẽ liên tục dao động giữa 40 và 60 mà không rõ xu hướng, tạo ra hàng loạt tín hiệu nhiễu. Cách tốt nhất là kết hợp công cụ ADX (Average Directional Index). Nếu ADX dưới 25 (thị trường không có xu hướng), bạn nên tắt RSI đi và dùng các công cụ hỗ trợ/kháng cự tĩnh thay thế.
Q7: Công thức tính RSI có áp dụng được cho Crypto (Tiền điện tử) không?
Bản chất công thức toán học đo lường tỷ lệ Lãi/Lỗ trung bình, do đó nó áp dụng được cho mọi lớp tài sản có dữ liệu giá. Tuy nhiên, vì Crypto biên độ quá lớn, vùng rủi ro đảo chiều thường nằm ở RSI > 85 và RSI < 15, thay vì 70/30 như chứng khoán truyền thống.
Về Tác Giả & Ban Cố Vấn Báo Cáo: Bài phân tích này được thực hiện bởi Nicky Minh – Senior Financial Market Analyst & Content Strategist. Với hơn 5 năm kinh nghiệm thực chiến phân tích định lượng trên các thị trường trọng yếu (Chứng khoán, Chỉ số vĩ mô và Tiền điện tử), mọi dữ liệu trong báo cáo đều được trích xuất từ tài khoản Real và đối chiếu trực tiếp với các biến số kinh tế tài chính năm 2026. Chúng tôi không đánh giá dựa trên thông cáo báo chí, chúng tôi đánh giá bằng sự sống còn của dòng vốn.
Tài liệu này được cập nhật lần cuối: 04/2026
Kiểm duyệt nội dung: Bài viết này đã được kiểm tra và hiệu đính chuyên môn bởi Nicky Minh – Chuyên gia Phân tích Dữ liệu Tài chính. Với nền tảng vững chắc về Growth Marketing và Content Strategy, Nicky đảm bảo các thông tin được truyền tải không chỉ chính xác về mặt số liệu mà còn mang lại giá trị thực tiễn cho độc giả.
Kết nối với chuyên gia: Nicky Minh | LinkedIn
Tuyên bố miễn trừ trách nhiệm
Bài viết này chỉ mang tính chất giáo dục và thông tin. Không phải lời khuyên đầu tư hoặc khuyến nghị giao dịch. Giao dịch tài chính phái sinh có rủi ro cao và có thể không phù hợp với tất cả nhà đầu tư. Quá khứ không đảm bảo kết quả tương lai. Hãy tham khảo cố vấn tài chính trước khi đầu tư.

