VNindex là ký hiệu chung cho chỉ số chứng khoán Việt Nam. Nó được xây dựng dựa trên giá trị vốn hóa thị trường của tất cả các công ty được niêm yết trênsàn chứng khoán Việt Namlớn nhất Việt Nam – Sở Giao dịch chứng khoán Hồ Chí Minh.
Dựa trên chỉ số Vn Index các nhà đầu tư có thể phân tích, đánh giá về sự biến động của toàn thể thị trường trong một khung thời gian nhất định.
Trong bài viết này chúng ta sẽ cùng tìm hiểu rõ hơn về chỉ số VN Index và những ảnh hưởng của nó đối với thị trường chứng khoán Việt Nam nhé.
1. Chỉ số VN Index là gì?
֎ Định nghĩa
Chỉ số VNIndex là chỉ số đại diện cho thị trường chứng khoán Việt Nam. Chỉ số VN-Index được tổng hợp và tính toán dựa trên giá trị vốn hóa thị trường của tất cả các công ty đang niêm yết trên sàn chứng khoán HOSE.
Ngoài chỉ số VN-Index, thị trường chứng khoán Việt Nam (TTCK) còn có thêm một số chỉ số khác như HNX Index hay Upcom Index.
Tuy nhiên, sàn giao dịch chứng khoán TP. Hồ Chí Minh là đơn vị thực hiện giao dịch tập trung đầu tiên tại Việt Nam vào 28/07/2000, đánh dấu cho sự ra đời của thị trường chứng khoán Việt Nam, do vậy chỉ số VNIndex được coi là một trong những chỉ số quan trọng nhất trên thị trường chứng khoán Việt Nam, tương tự như chỉ số Dow Jones.
Ví dụ chỉ số VN Index ngày 26/4/2024 đang là 1203,03 điểm. Điều này có nghĩa là tổng giá trị thị trường của tất cả các cổ phiếu đang niêm yết trên sàn HOSE có giá trị gấp 12.0303 lần giá trị cơ sở ngày 28/7/2000.
Chỉ số VN Index do Ủy ban chứng khoán nhà nước quản lý và được tính toán theo phương pháp chỉ số giá bình quân Passcher hiện nay.
2. Công thức & Ý nghĩa của VNIndex
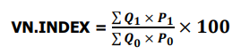
֎ Công thức tính chỉ số VNIndex:

Trong đó:
1: là khối lượng cổ phiếu đang lưu hành.
1: giá cổ phiếu hiện hành.
0: khối lượng cổ phiếu thời kỳ gốc.
0: giá cổ phiếu thời kỳ gốc.
֎ Ý nghĩa của chỉ số VN Index
Dựa vào chỉ số VN Index những nhà đầu tư, những người giao dịch chứng khoán có thể biết được:
Tâm lý của các nhà đầu tư trên thị trường: Sự sụt giảm hoặc tăng trưởng của chỉ số VN-Index sẽ cho thấy sự chán nản hoặc phấn khích của thị trường. Khi chỉ số VN-Index có sự tăng trưởng thể hiện tâm lý tích cực, dòng tiền tham gia tích cực vào thị trường và ngược lại.
Nền kinh tế đang tăng trưởng hay suy thoái:
Chỉ số VN-Index cũng là một công cụ gián tiếp để đánh giá sức mạnh của nền kinh tế.
Chỉ số này xác định tâm lý kỳ vọng hay thất vọng của nhà đầu tư dựa trên sự đánh giá về những yếu tố vi mô trong nền kinh tế như: Chính sách của chính phủ, sự phát triển của các Doanh nghiệp và mức độ lạm phát.
Hiệu suất của thị trường chứng khoán: Hiệu suất của TTCK là kết quả của phép chia giữa giá trị vốn hóa của thị trường tại thời điểm hiện tại cho giá trị vốn hóa tại thời điểm phát hành lần đầu. Thông qua đó chúng ta có thể so sánh hiệu suất của TTCK qua các năm khác nhau.
3. Lịch sử chỉ số VN-Index qua các năm
Năm 2006 Việt Nam gia nhập WTO, thị trường chứng khoán chứng kiến đà tăng nóng một cách rõ rệt nhất. Sau đà tăng nóng đó thị trường hạ nhiệt với nhiều phiên giảm điểm liên tiếp.
Năm 2007 quyết định cắt giảm ưu đãi thuế đối với Doanh nghiệp niêm yết có hiệu lực và hàng loạt các doanh nghiệp nhà nước tiến hành IPO trong năm này nên đây được đánh giá là năm hoàng kim của TTCK. Chỉ số VN Index tăng gần 4 lần so với năm 2006.
Bước sang năm 2008, với nhiều nhà đầu tư thì đây là năm không mấy lạc quan do sự ảnh hưởng nặng nề của cuộc suy thoái kinh tế toàn cầu xảy ra. Tuy nhiên, vào đầu năm 2009 chỉ số VN Index bắt đầu tăng lên dưới sự kích cầu nền kinh tế của Chính phủ.
Đầu năm 2020 dưới sự ảnh hưởng của dịch Covid-19 chỉ số VNindex sụt giảm 31%, các nhà đầu tư nước ngoài liên tục bán ròng. Nhưng việc cắt giảm lãi suất và tình hình kiểm soát dịch bệnh của Chính phủ Việt Nam đã khiến cho thị trường có những sắc xanh trở lại, các nhà đầu tư nước ngoài cũng dần quay trở lại thị trường.
Bước sang năm 2021 và đầu năm 2022, dù thế giới vẫn bị ảnh hưởng bởi đại dịch COVID-19, chỉ số VN Index tăng trở lại trong bối cảnh nền kinh tế phục hồi. Nhất là trong Quý I năm 2022, chỉ số này tăng 25,24% so với cùng kỳ năm 2021.
Bắt đầu từ cuối tháng 3 năm 2022, chỉ số VNindex đã rơi vào một xu hướng giảm trong chu kỳ Fed tăng lãi suất cho đến tháng 7 năm 2023. Sau đó, Fed kết thúc việc tăng lãi suất và duy trì ở mức đó. Kết quả là, VNindex đã phục hồi và đạt hiệu suất là 15,78% trong năm 2023 (tương ứng với con số 13,36% của chỉ số DowJones).
4. So sánh các chỉ số VN Index; S&P 500; Dow Jones; Nasdaq

◆Kết luận:
So với các chỉ số khác trên thị trường chứng khoán Việt Nam như VN 30, HNX Index thì chỉ số VN Index là chỉ số quan trọng và lớn nhất trên thị trường. Nó giúp cho các nhà đầu tư có cái nhìn toàn cảnh về TTCK của Việt Nam.
Nếu như xét về mặt giá trị thì so với các chỉ số như S&P 500, Dow Jones, Nasdaq 100 thì VN Index vẫn còn có những sự khác biệt tương đối lớn.
Điều này cũng hoàn toàn dễ hiểu vì thị trường chứng khoán Việt Nam là một thị trường non trẻ và còn khá nhiều hạn chế so với các thị trường chứng khoán lâu đời có bề dày lịch sử như Mỹ, sức hút dòng tiền ngoại còn hạn chế do rủi ro cao hơn và cơ chế thị trường còn kém linh hoạt (T+2, hạn chế giao dịch vốn ngoại,..).
Chỉ số chứng khoán Mỹ là thị trường hấp dẫn nhất trên toàn cầu, và trong lòng của các nhà đầu tư, thị trường chứng khoán Mỹ cũng an toàn và đáng tin cậy hơn.
Tuy nhiên nếu như xét về tốc độ tăng trưởng thì chỉ số VNindex cũng là một trong những chỉ số đáng để chúng ta lưu ý. Với tốc độ tăng trưởng tăng hơn 550% sau 12 năm thì TTCK Việt Nam cũng đang là điểm đến lý tưởng cho các nhà đầu tư trong và ngoài nước.
5. Sự khác biệt giữa chỉ số VNindex và VN 30
۞Giống nhau
Cả hai chỉ số này đều có sức ảnh hưởng đến tâm lý của các nhà đầu tư cổ phiếu trên TTCK Việt nam. Chỉ số tăng hay giảm sẽ phần nào ảnh hưởng đến quyết định của các nhà đầu tư trên thị trường.
۞Khác nhau
Định nghĩa
Chỉ số VNindex là kết quả so sánh giá trị vốn hóa của thị trường tại thời điểm hiện tại với giá trị vốn hóa của thị trường cơ sở (ngày 28/7/2000). Hiểu đơn giản hơn là chỉ số VNindex cho chúng ta biết được giá trị vốn hóa của thị trường tại thời điểm hiện tại đã thay đổi bao nhiêu lần so với giá trị vốn hóa của thị trường khi giao dịch ngày đầu tiên.
Chỉ số VN30 là kết quả đo lường sự thay đổi giá trị vốn hóa thị trường của 30 công ty có giá trị vốn hóa lớn nhất TTCK Việt Nam.
Phương pháp tính giá
Phương pháp tính giá chỉ số VN Index về cơ bản chỉ dựa trên giá trị vốn hóa thị trường của tất cả các cổ phiếu đang niêm yết trên sàn HOSE mà chưa tính đến lượng rổ cổ phiếu tự do lưu hành trên thị trường (free float), cũng như chưa có cơ chế kiểm soát, phân tích sự ảnh hưởng của những nhóm cổ phiếu lớn chiếm tỷ trọng cao trong chỉ số.
Trong khi đó chỉ số VN30 giúp chúng ta giải quyết được vấn đề trên. Hiện tại, rổ cổ phiếu trong nhóm VN30 chiếm hơn 80% tổng giá trị vốn hóa toàn thị trường, do thị trường chứng khoán Việt Nam còn khá cơ bản và mức độ chênh lệch của Top doanh nghiệp so với các Doanh nghiệp nhỏ lẻ là khá lớn.
Qua đó nó phản ánh chính xác hơn biến động giá cả chứng khoán toàn thị trường. Và nó cũng được dùng làm cơ sở để xây dựng nên các sản phẩm hoặc quỹ đầu tư mới.
6. Tổng quan về VNindex và thị trường chứng khoán Việt Nam

Biểu đồ Xu hướng của chỉ số VNIndex – Nguồn: Tradingview
Năm 2019, dưới sự tác động của cuộc chiến tranh thương mại Mỹ – Trung và một số bất ổn về chính trị tại một số khu vực … cũng gây ra các tác động xấu tới thị trường chứng khoán Việt Nam(TTCK Việt Nam) nói riêng và chứng khoán thế giới nói chung.
Đến cuối năm 2019 TTCK Việt Nam có xu hướng hồi phục tích cực hơn thời kỳ đầu năm. Kết thúc năm 2019 TTCK Việt Nam được đánh giá là có mức tăng trưởng ổn định và thu hút nhiều nhà đầu tư nước ngoài hơn do tác động của việc nền kinh tế Việt Nam được xếp vào top 20 nền kinh tế đóng góp lớn nhất vào tăng trưởng GDP toàn cầu.
Tuy nhiên dưới sự ảnh hưởng của đại dịch Covid-19, TTCK Việt Nam chứng kiến sự sụt giảm thê thảm so với thời điểm cuối năm 2019. Đây là mức giảm lớn thứ 2 từ trước đến ngay chỉ sau cuộc đại suy thoái kinh tế diễn ra vào năm 2018. Với “thành tích” như vậy Việt Nam lọt vào top 10 TTCK có mức giảm mạnh nhất thế giới (theo số liệu thống kê của Indexq).
Tuy nhiên dưới sự hỗ trợ của Chính phủ bằng việc tung ra các chương trình “Giảm đau kinh tế” như việc cắt giảm lãi suất cộng với việc kiểm soát tốt tình hình dịch bệnh trong nước so với trên thế giới nên từ Quý 2 năm 2020 đến Quý IV/2021 sắc xanh đã trở lại với TTCK Việt Nam, thị trường liên tục tăng trưởng đạt khối lượng giao dịch hơn 40,000 tỷ đồng và thị trường đã vượt đỉnh cũ 1,211 điểm và đạt đỉnh cao mới ở mức 1,536 điểm.
Trong năm 2022 thị trường đã có một năm giảm điểm thất vọng trong liên tục 09 tháng sau khi đạt đỉnh hơn 1500 trước đó. Hiện tại thị trường đang giao động ở mức từ 960-980 điểm. Tuy nhiên, nhịp giảm điểm tiêu cực này là thời điểm tốt để nhà đầu tư có thể mua các cổ phiếu tốt với giá vốn phù hợp thay vì giai đoạn tăng trưởng nóng trong giai đoạn 2020-2021.
7. Top 10 công ty có giá trị vốn hóa lớn nhất thị trường chứng khoán Việt Nam
Top 10 công ty có giá trị vốn hóa lớn nhất thị trường chứng khoán Việt Nam
Mã | Công Ty | Ngành | Giá cổ phiếu(nghìn đồng) | Vốn hóa thị trường (Tỷ đồng) |
VCB | Vietcombank | Tài chính | 92,4 | 500,22 |
BID | BIDV | Tài chính | 49.85 | 281,57 |
CTG | Vietinbank | Tài chính | 32,7 | 174,80 |
VHM | Vinhomes | Bất động sản | 40,85 | 174,65 |
GAS | PV Gas | Khai thác khí đốt tự nhiên | 74,1 | 169,26 |
| HPG | Tập đoàn Hòa Phát | Khoáng sản không phải là năng lượng | 28,5 | 165,43 |
TCB | Techcombank | Tài chính | 46,1 | 163,56 |
VIC | Vingroup | Xây dựng và bất động sản | 43,05 | 152,87 |
FPT | FPT | Dịch vụ công nghệ | 124,2 | 150,05 |
VPB | VPBank | Tài chính | 18,45 | 145,77 |
(Nguồn: Tradingview)
8. Lời kết
Với tốc độ tăng trưởng hơn 550% trong 12 năm qua (tính từ đáy khủng hoảng 2009) tương ứng với mức tăng trung bình ~ 45% hàng năm thì TTCK Việt Nam cũng đang là một trong những điểm nóng trong khu vực. Tuy nhiên sau 20 năm kể từ phiên giao dịch đầu tiên vào năm 2000, mặc dù với các thành tựu đã đạt được như hiện tại nhưng so với thế giới thì TTCK Việt Nam mới chỉ bắt đầu giai đoạn phát triển của mình.
Mặc dù có những hạn chế nhất định về cách tính giá trị vốn hóa của cấu phần chỉ số VN Index hay việc chưa hạn chế được ảnh hưởng quá mức của những cấu phần có tỷ trọng cao nhưng với nhiều nhà đầu tư trong và ngoài nước thì VN Index vẫn là chỉ số đáng để lưu tâm.

